近日,星空彩票体彩版夏利宁教授团队提出反刍动物饲料中新兴霉菌毒素污染物的防控技术,该成果以“Alternaria Mycotoxins Analysis and Exposure Investigation in Ruminant Feeds”为题发表于国际著名期刊《Toxins》。

畜牧业是新疆的支柱产业,饲料安全是畜牧养殖的重中之重。Alternaria mycotoxins是一种新兴的霉菌毒素污染物,其具有显著的遗传毒性和生殖发育毒性。Alternaria mycotoxins在饲料中的污染问题给饲料安全的防控提出了新的要求。在前期的研究中,夏利宁课题组已经鉴定出6种主要Alternaria mycotoxins(图1)。

图1 主要Alternaria mycotoxins化学结构
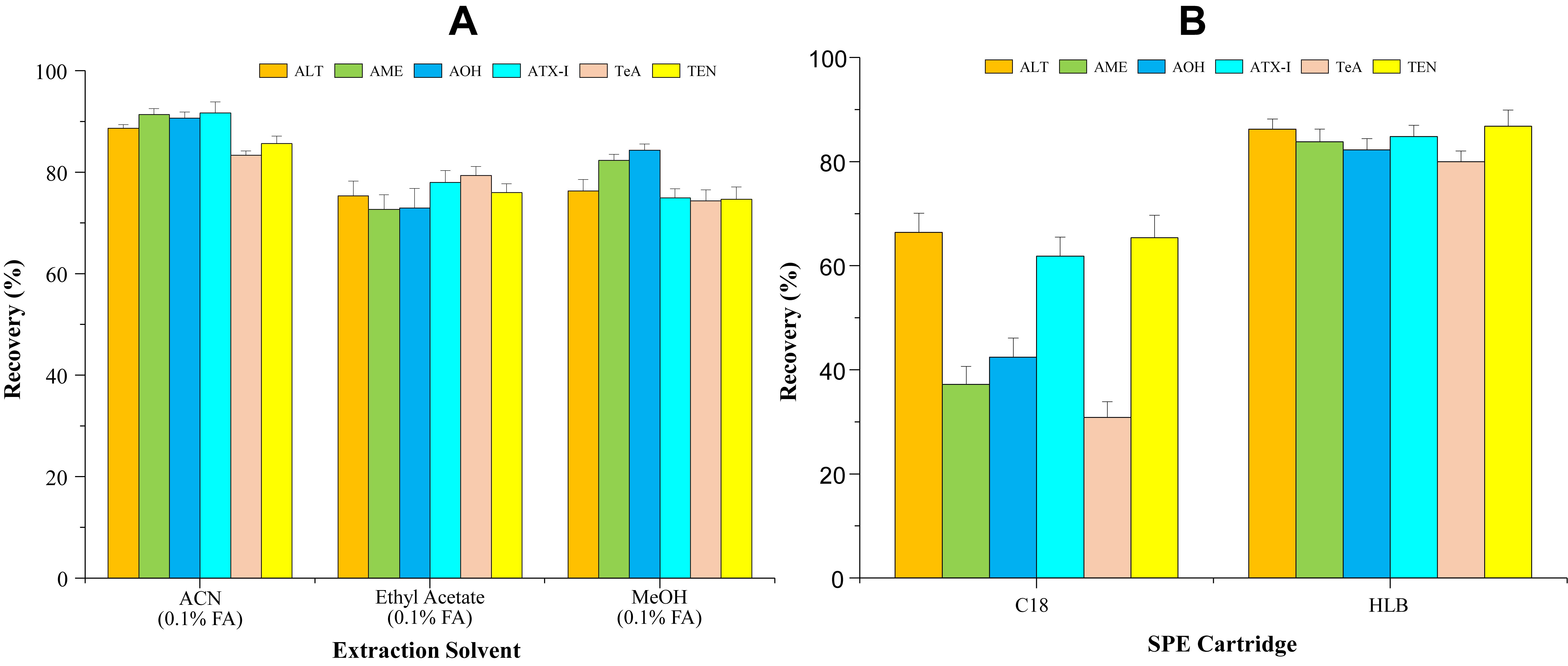
Alternaria mycotoxins的极性差异较大,该研究采用溶液酸化提取技术以增加多组份目标物的提取效率,尤其是强极性化合物TeA和AOH的提取效率。此外,研究表明酸化溶液可强化多柱固相萃取净化(M-SPE)过程中的吸附剂与目标物的非极性作用力,在目标化合物净化中表现出良好的效果。(图2)

图2 Alternaria mycotoxins提取和净化方法的优化分析
该研究对新疆反刍动物饲料中Alternaria mycotoxins的暴露水平开展评估分析,对不同来源及不同贮藏条件下饲料中的污染物进行探索,揭示了反刍动物饲料中Alternaria mycotoxins的污染种类和水平,为后续饲料中霉菌的产毒机理研究及毒素代谢组学分析提供了基础。该研究在反刍动物的健康养殖和动物源性食品安全的防控领域具有显著的应用前景。

图3. Alternaria mycotoxins在反刍动物饲料中的暴露分析
星空彩票体彩版毛馨博士为第一作者,星空彩票体彩版夏利宁、郭庆勇以及烟台大学李彦伸为共同通讯作者。该成果是该团队首次在反刍动物饲料安全防控领域取得的重大进展。
本文得到国家重点研发(2021YFD1600702-3)和国家自然科学基金等项目资助(31871718),以及新疆草食性药物研究与开发重点实验室的大力支持。





