烟熏作为一种传统的食品加工方法,在现代冷藏技术普及之前,是人类储藏食物的重要手段,它在赋予食品独特风味和质感的同时,也可能增加β-咔啉类杂环胺(β-CHAs)的含量。杂环胺是一类具有神经毒性和致癌性的化合物,长期摄入含有杂环胺的食物可能增加人们罹患癌症的风险。因此,探究如何有效降低烟熏食品中β-CHAs的含量,对于保障食品安全和消费者健康具有重要意义。

近日,星空彩票体彩版资源与环境学院柴仲平教授研究团队和江南大学食品学科与技术国家重点实验室曾茂茂教授研究团队合作在Journal of Hazardous Materials(SCI中科院一区,IF=13.3)发表了题为“Effects and mechanisms of using “clean” smoke particles in the smoking process on the formation of β-carboline heterocyclic amines (β-CHAs) in smoked meat patties”的研究成果。这项研究揭示了烟熏过程中β-CHAs形成的机制,并提出了一种创新的方法来减少烟熏食品中的有害物质。
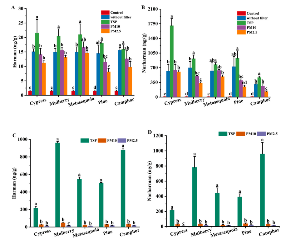
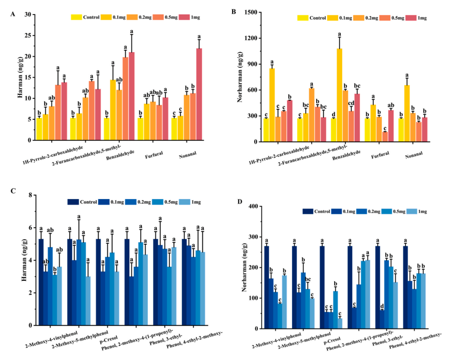
研究团队首先使用不同种类的木材进行烟熏实验,测量了烟熏肉饼中β-CHAs的浓度。随后,通过气相色谱-质谱联用技术(GC-MS)和多元统计分析,识别了与β-CHAs积累相关的挥发性有机化合物(VOCs),并建立一个化学模拟体系来探究VOCs对β-CHAs形成的影响。研究中一个重要创新点是使用了不同孔径大小的过滤器来拦截和净化烟雾颗粒。

图1 烟雾被滤网阻挡的示意图。

图2 各种木材在吸烟的过程中,不同孔径的过滤网对肉饼中和过滤网上β-CHA形成的影响

图3 在模拟体系中,醛和酚(烟雾中)对β-CHAs产生的影响

图4 醛和酚对β-CHAs模拟体系中前体消耗的影响。
星空彩票体彩版资源与环境学院教师沈幸为本文第一作者,星空彩票体彩版柴仲平教授和江南大学曾茂茂教授为共同通讯作者。研究相关工作得到了国家自然科学基金(32272430,32360802,31960639)的资助支持。





