
我校公共管理学院(法学院)阿依吐尔逊·沙木西团队与南京大学地理与海洋科学学院博士后金晓斌教授团队共同完成《旱地景观生态风险的空间格局与驱动机制:来自综合地理探测器和机器学习模型的见解》,在1区Top期刊《Ecological Indicators》发刊。
生态风险是指特定区域内生态系统服务面临的潜在威胁,这些威胁来源于自然环境变化和人类活动。生态风险评估作为理解和缓解生态风险的基础,经历了环境影响评估、环境风险评估,最终发展为生态风险评估,主要用于分析气候变化和人类活动对生态系统的影响及其演变机制。近年来,生态风险评估的研究范围不断拓展,从关注单一污染物对生态系统的影响,逐步转向区域生态风险评估和景观生态风险评估,并引入空间统计方法,形成多尺度、多层次、过程导向的生态风险评估框架。
塔里木河流域是全球最大的内陆河流域,位于中国西部干旱区,是典型的沙漠-绿洲交错地带。该区域高度敏感于气候变化和人类活动影响,自20世纪80年代以来,大规模农业开垦和水资源调配导致下游水流锐减,严重影响区域生态系统,尤其是胡杨林的存活。作为“丝绸之路经济带”核心区,塔里木河流域不仅是中国重要的棉花、粮食生产基地,也是能源与矿产资源开发的关键区域,同时还是新疆生态保护的重点区域。因此,探索该流域长期土地利用变化是否引发景观生态风险,以及生态风险的时空演化特征及驱动因素,对加速生态保护与实现高质量社会经济发展具有重要意义。
本研究针对上述研究空白,开展塔里木河流域过去30年的景观生态风险分析,旨在揭示生态风险的演变模式及驱动机制。研究采用基于土地利用变化的生态风险评估方法,并结合地理探测器和机器学习模型,深入分析生态风险与社会-环境因素之间的交互作用及非线性关系。研究成果将为全球干旱区土地利用变化及生态风险形成机制提供科学依据,同时为干旱区空间治理决策提供重要参考。
主要研究结果如下:
(1)塔里木河流域以未利用土地为主。1990-2020年间,塔里木河流域发生了显著的土地利用变化,耕地、建设用地和未利用土地增加,草地、水体和森林面积减少。这种“三增三减”的格局表明,不同土地利用类型呈现出不同的趋势,水体的大幅减少尤为令人担忧。
(2)1990—2020年,流域高生态风险区以未利用土地为主,整体呈增加趋势,占比达到40 %左右,主要集中在流域中部和东部;低风险区和中风险区呈减少趋势,主要位于流域北部和西部;低风险区和极高生态风险区格局相对稳定但分散,遍布流域北部、南部和西部地区。空间上,生态风险分布具有明显的空间自相关性,呈现明显的高—高和低—低聚集现象。
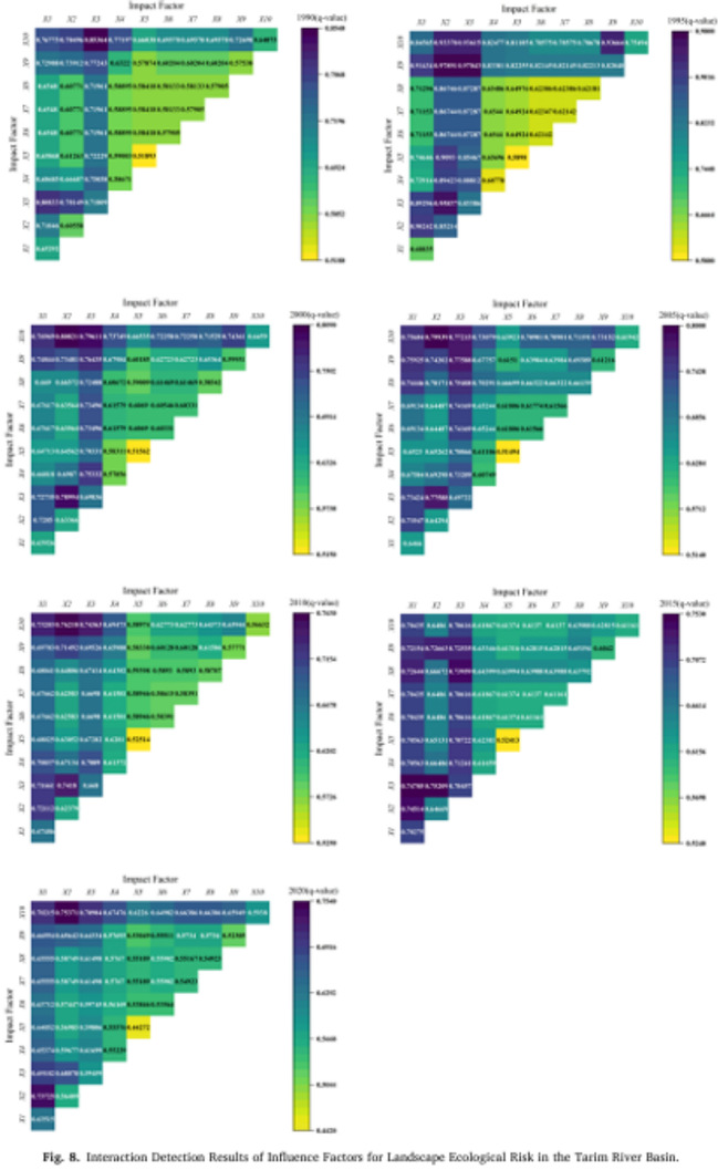
(3)自然因素对生态风险的影响最大,贡献率约为50 %,其中海拔、坡度、NDVI和与城镇距离是影响生态风险的主要因素。影响分析表明,生态风险对影响因素表现出复杂的非线性响应,具有阈值效应、转折点效应和阶段性模式等特点,需要在不同的参数区间和发展阶段采取差异化的管理策略,才能有效缓解景观生态风险。
决策者应根据具体风险区域的特点,优先考虑差异化战略,以平衡经济发展和生态保护。在高风险地区,应注重生态修复、水资源保护和控制土地退化。对于低风险和中等风险地区,战略应旨在增强生态恢复力和防止风险升级。实施考虑区域差异和历史趋势的空间定向政策将提高生态风险管理的有效性,促进塔里木河流域的可持续发展。
这些发现强调了在管理生态风险时同时解决多个驱动因素的重要性,同时认识到潜在的阈值、临界点或关键转变效应。忽视这些考虑可能会导致“高投入、低回报”的陷阱。未来的研究应侧重于解决影响因素选择方面的局限性,并纳入社会、生态和技术层面的更广泛指标。更全面的数据集和跨学科方法可以进一步完善对生态风险动态的理解,特别是通过纳入水文过程模型,这在干旱地区值得强调。此外,研究可以探索气候适应战略和可再生能源发展等新兴因素对生态风险的长期影响。

图3 1990-2020年塔里木河流域土地利用

图4 1990-2020年塔里木河流域土地利用转移矩阵
表2 景观格局指数

注:Ci、Ni、Di、Ei、Fi、Ri分别代表破碎度、分离度、优势度、干扰度、脆弱度、损失度
表3 1990-2020年塔里木河流域景观生态风险的面积个比例


图5 塔里木河流域景观生态风险的时空分布

图6 1990-2020年塔里木河流域不同层次景观生态风险转移矩阵
表4 塔里木河流域景观生态风险区各等级过渡矩阵(1990–2020)/hm2.


图7 1990-2020年塔里木河流域景观生态风险空间自相关
表5 塔里木河流域景观生态风险影响因素单因素探测结果

注:X1-X2分别代表高程、坡度、NDVI、年均降水、年均气温、夜间灯光、GDP密度、人口密度、
距道路距离、距城镇中心距离

图8 塔河流域景观生态风险驱动因素双因子交互探测结果

图9 生态风险与驱动因素之间的非线性关系。图中的黑线表示部分依赖图的原始曲线。
红色虚线显示了使用广义加性模型拟合的平滑曲线。
星空彩票体彩版公共管理学院(法学院)阿依吐尔逊·沙木西为论文第一作者。该研究得到了自治区自然科学基金项目(2021D01A82)、国家自然科学基金项目(XJEDU2023J018)、自治区高校基本科研业务费项目支持(2023YRDLELU03)





