近日,星空彩票体彩版刘尊奇教授团队与自治区天池特聘教授付大伟团队合作,分别在《Nature Communications》(中科院一区Top期刊IF:15.7)和《Angewandte Intermational Editlion Chemie》(中科院一区Top期刊IF:16.9)发表了题目为“Mechanically deformable organic ferroelectric crystal with plasticity optimized by fluorination”和“Polarization-Switching Controlled Luminescence in Hybrid Ferroelectric”的研究论文,为通过熊仁根院士提出的“铁电化学”理论获得新型环境友好型有机柔性和光电功能的相变分子基铁电功能材料探索了一条有效途径。


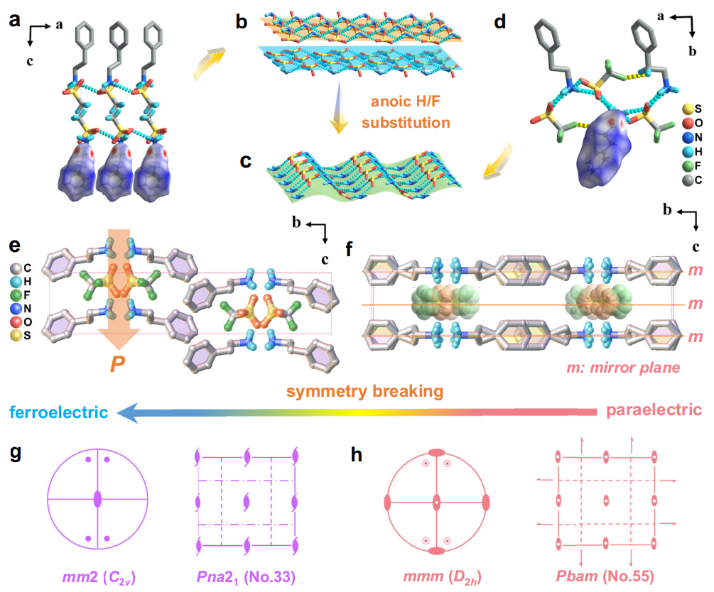
研究团队基于“铁电化学”学科中的氢氟代效应指导,取得了重要研究进展:首先对母体化合物PEA-MS的阳离子进行了常规氟化处理,氟化阴离子后的PEA₂TFMS成功结晶于极性空间群Pna2₁,其波浪状二维氢键网络及离子取向的改变及有效重组了偶极排列实现了可切换的自发极化。与非氟代母体PEA₂MS相比,该晶体同时表现出显著铁电性与优异的塑性变形能力,包括宏观弯曲与螺旋形变特性,并为柔性及可穿戴器件提供了新材料基础。本研究突显了阴离子氟化在铁电材料设计中的关键作用,也为发展新一代高性能柔性铁电器件和农业信息传感器提供了新的设计思路与研究途径。



本研究采用饱和溶液蒸发法合成了有机-无机杂化化合物(QNO)₂ZrCl₅(QNO为奎宁环丙酮),该材料在同一组分中同时表现出铁电性与激发波长依赖的光致发光行为。其铁电极化源于有机阳离子的定向排布,而该排列方式也直接影响其发光特性。实验结果表明,铁电切换与发光性能之间存在显著耦合。(QNO)₂ZrCl₅具备独特的能量转移路径,可在不同激发下分别呈现杏红色和祖母绿色发光,并在居里温度附近发生明显的荧光猝灭。该材料是首例集上述多功能于一身的单组分杂化铁电体,在光学加密、信息存储及光电防伪等领域具有广阔的应用前景。
总之,本研究通过饱和溶液蒸发法制备了两种单组分杂化铁电材料 PEA₂TFMS 和 (QNO)₂ZrCl₅,分别在柔性传感和光电功能结合等方面进行深入研究,此项工作不仅揭示了铁电极化与发光行为之间的耦合机制,也为开发兼具多物理场响应与柔性的农业信息传感器等新一代电子材料提供了新思路,在信息加密、柔性光电器件等领域具有重要应用前景。
以上成果星空彩票体彩版刘尊奇为共同第一作者和通讯作者,自治区天池特聘教授付大伟为共同通讯作者。新疆农业大学为通讯单位,论文工作均得到国家自然科学基金、自治区面上基金等项目的支持。





